Allgemeine Berichte | 22.03.2021

Entwicklung der Coronainfektionen im Kreis Neuwied

Kreis Neuwied bei 132,4 7-Tage-Inzidenz

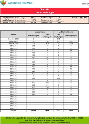
Kreis Neuwied. Im Kreis Neuwied wurden seit Freitag insgesamt 111 neue Positivfälle registriert. Die Summe aller Positivfälle steigt auf 5.720 an. Der Inzidenzwert liegt gemäß aktueller Berechnung durch das Landesuntersuchungsamt RLP bei 132,4. Bisher gibt es im Kreis Neuwied 391 nachgewiesene Fälle von Corona Mutationen. Im Impfzentrum wurden heute 420 Erstimpfungen und durch mobile Teams 18 Zweitimpfungen durchgeführt.

Kreisverwaltung Neuwied

Quelle: Pressestelle Kreis Neuwied

Quelle: Pressestelle Kreis Neuwied

Quelle: Pressestelle Kreis Neuwied

Quelle: Pressestelle Kreis Neuwied

Artikel melden

? Vielen Dank! Ihre Meldung wurde erfolgreich versendet.
? Es gab einen Fehler beim Versenden. Bitte versuchen Sie es später erneut.
Kommentare
Bildergalerien
Neueste Artikel-Kommentare
  • Lena: Diversität ist wichtig: Der Wolf reguliert Überpopulationen ( z.B. Schwarzwild, Rehwild). Für schlecht geschützte Herdentiere sind die Besitzer verantwortlich.
  • Peter 1: Trotzdem ist der Wolf hier vollkommen überflüssig.
  • Walter Miller : Ein verpixeltes Bild von der durch den Wolf getöteten Ziege. Was will man damit ausdrücken ? Das ein Wolf besonders grausam ist ? Er ist ein Geschöpf der Natur - nicht mehr und nicht weniger. Im Gegensatz zu den 467.000 Jägern in Deutschland.
  • Michael Geiger, 56337 Eitelborn: Michael Geiger, Leider kann ich die Losnummern aus der Ziehung vom 28.03.26 im Globus Bubenheim nicht finden.. Warum nicht
  • Dietmar Gläsener: Leider kann ich meine Gewinnlos Nummern , Ziehung vom 28.03.26 im Clobus in KO-Bubenheim nicht abrufen im Internet. Woran liegt es? D. Gläsener, 56237 Nauort
  • S. Bastian: Herr Winkelmann, Sie werden doch ihren eigenen Artikel kennen. Zitat: "Verbandsbürgermeister Jan Ermtraud machte in einer Rede deutlich, dass die Maßnahmenliste einerseits das Ergebnis eines vertrauensvollen...
  • Andreas Winkelmann: Hallo Frau Roth, von "vertrauensvoll" steht nichts im Bericht. Und die veränderte Maßnahmenreihenfolge ist ausdrücklich erwähnt. Gleich zu Anfang ist auf die dem Ratsinformationssystem zu entnehmenden Details verwiesen, wo u..a.
  • Dagmar Both: Guten Morgen Herr Winkelmann, herzlichen Dank für ihre Berichterstattung. Wenn sie von einer vertrauensvollen Abstimmung im Abstimmungsprozess zum Sondervermögen berichten, - dann gilt dies leider nicht für die Freien Wähler.
Dauerauftrag 2026
Fahrer gesucht (m/w/d)
Kleinanzeigen
Innovatives rund um Andernach
Auftrag, Nr. AF2025.000354.0, April 2026
Doppelseite PR/Anzeigen
Vortrag: Arthrose des Hüft- und Kniegelenk
Tag der offenen Tür
SB Standesamt
Stellenanzeige Kita
Empfohlene Artikel
Schülerinnen und Schüler der Bienenklasse 3c der KGS Meckenheim sind am Standort Meckenheim der Bücherbrücke in die Bücher vertieft. Foto: Stadt Meckenheim
31

Meckenheim. Die Bücherbrücke Meckenheim/Alfter verzeichnet eine rege Nutzung durch Kindertagesstätten und Schulen im Rahmen der Leseförderung. Unter den teilnehmenden Einrichtungen befinden sich unter anderem Blütentraum, Hüppekästchen, Rasselbande und zahlreiche weitere Kindertagesstätten. An beiden Standorten der Bücherei steht der Mittwochvormittag im Zeichen der Vorschulprogramme, bei denen die Kinder bib(liotheks)fit gemacht werden.

Weiterlesen

Mit 17 Anträgen zur Neuaufnahme in diesem Jahr wurde fast der Spitzenrekord von 2020 geknackt.
50

Leutesdorf. Pascal Berger, Vereinsvorsitzender begrüßte alle Anwesenden zur Jahreshauptversammlung am 28. März und es wurde nach Feststellung einer ordnungsgemäßen Einladung und Bekanntgabe der Tagesordnungspunkte eine Gedenkminute den Verstorbenen gewidmet.

Weiterlesen

Weitere Artikel
Die Verkehrssituation an der Aloisius-Grundschule stresst die Anwohnerschaft. Foto: ROB
2289

Immer wieder kommt es zu kritischen „Manövern“: Auch die Stadtverwaltung sieht zunehmende Belastung:

HeimatCheck: Ahrweiler: Eltern-Taxis stressen alle

Ahrweiler. Seit mehreren Jahren steht die Aloisius-Grundschule vor einer wachsenden Herausforderung: dem zunehmenden Verkehrsaufkommen durch sogenannte „Elterntaxis“. Leser von BLICK aktuell berichten, dass sich die Situation trotz wiederholter Hinweise und Appelle bislang nicht verbessert habe. Insbesondere zu den morgendlichen Bringzeiten sowie am Mittag beim Abholen der Kinder kommt es regelmäßig zu kritischen Verkehrssituationen rund um das Schulgelände.

Weiterlesen

Symbolbild. Foto: Adobe Stock
134

Bonn. Am kommenden Samstag (04.04.2026) findet in Beuel und in der Bonner Innenstadt der „Bonner Ostermarsch 2026“ statt. Zu dieser Friedensdemonstration erwarten die Veranstalter rund 500 Teilnehmende. Die Versammlung beginnt um 13:00 Uhr auf dem Mirecourtplatz am Beueler Rheinufer. Von dort aus ist folgender Aufzugsweg vorgesehen:

Weiterlesen

Dauerauftrag
Monatliche Anzeige
Dauerauftrag
Rund ums Haus
Kreishandwerkerschaft
Kreishandwerkerschaft
Mülltonnen -Reinigung, bis auf Widerruf
Innovatives rund um Andernach
Ostergruß
Kreishandwerkerschaft
Container Anzeige
Anzeigenauftrag FMP-1P9L0-AD-351131
Koblenz blüht // Frohe Ostern 2026
PR-Anzeige
Feierabendmarkt Bad Neuenahr / o.B. Sponsoring
Titelanzeige
Anzeige Lange Samstage
Mitarbeiter IT-Administrator
Imageanzeige - Ostern
Stellenanzeige Personalsachbearbeiter/in